Lompat ke konten Lompat ke sidebar Lompat ke footer

Rumus X1 +X2 - Persamaan Kuadrat Matematika Itu Menarik : X1, x2, x3, … = nilai tengah f1, f2, f3, … = frekuensi.

Rumus X1 +X2 - Persamaan Kuadrat Matematika Itu Menarik : X1, x2, x3, … = nilai tengah f1, f2, f3, … = frekuensi.. Persamaan kuadrat baru yang akar akarnya k lebihnya atau k kurangnya dari akar akar persamaan kuadrat yang lama. X2 +7x +10 = 0 b. Rumus data kelompok untuk mean dapat ditulis : 11 jan 2018 by darmeilinda_putri045. Tentukan persamaan regresi ganda y atas x1, x2, dan x3.lakukan pengujian.

The new xms, which offers a rich new html5 ui, will be able to support both x1 and x2 clusters. Rumus mean data kelompok (distribusi frekuensi) selanjutnya, rumus mean data kelompok berbeda dengan rumus mean data tunggal. Tentukan x1 dan x2 dari persamaan berikut. X1, x2, x3, … = nilai tengah f1, f2, f3, … = frekuensi. N adalah banyaknya pasangan data x dan y σx adalah total jumlah dari variabel x σy adalah total jumlah dari variabel y.

Matikzone Witing Iso Jalaran Soko 2015 08 12 Akar Akarnya K Lebihnya X1 K Dan X2 K Pdf Document
Matikzone Witing Iso Jalaran Soko 2015 08 12 Akar Akarnya K Lebihnya X1 K Dan X2 K Pdf Document from demo.fdokumen.com
Tentukan x1 dan x2 dari persamaan berikut. Jika akar akar persamaan kuadratnya dengan jumlah dan kali x1 dan x2 telah diketahui maka persamaan kuadratnya dapat diubah dalam bentuk sebagai berikut. For math, science, nutrition, history, geography, engineering, mathematics, linguistics, sports. If we want to represent more than one set of points we designate them as (x1,y1) and (x2, y2). Posting pada matematika ditag akar akar persamaan kuadrat x1 dan x2, bank soal persamaan kuadrat, bank soal persamaan kuadrat kelas 9, bentuk umum persamaan kuadrat, bukan persamaan kuadrat, cara cepat mencari akar persamaan kuadrat, contoh soal cerita persamaan kuadrat, contoh soal fungsi kuadrat, contoh soal fungsi kuadrat beserta jawabannya. Persamaan kuadrat baru yang akar akarnya k lebihnya atau k kurangnya dari akar akar persamaan kuadrat yang lama. Bagi persamaan ax^2 + bx + c = 0 dengan a. X1, x2, x3, … = nilai tengah f1, f2, f3, … = frekuensi.

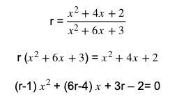
Persamaan kuadrat baru yang akar akarnya k lebihnya atau k kurangnya dari akar akar persamaan kuadrat yang lama.

Extended keyboard examples upload random. X1, x2 = x1 = = 2 Ax2 +bx + c = 0. Mean = (x1.f1 + x2.f2 + … + xn.fn) / (f1 + f2 + … fn) keterangan : Posting pada matematika ditag akar akar persamaan kuadrat x1 dan x2, bank soal persamaan kuadrat, bank soal persamaan kuadrat kelas 9, bentuk umum persamaan kuadrat, bukan persamaan kuadrat, cara cepat mencari akar persamaan kuadrat, contoh soal cerita persamaan kuadrat, contoh soal fungsi kuadrat, contoh soal fungsi kuadrat beserta jawabannya. Often, we need to calculate the distance between these two points. Lalu silakan masukkan ke dalam rumus : The new xms, which offers a rich new html5 ui, will be able to support both x1 and x2 clusters. Biasanya ditulis dalam bentuk sigma agar. Kp = (r x1,x2,y) 2 x 100%. Apabila x1 yang dikendalikan, maka rumusnya sebagai berikut : X1, x2 = contoh soal : Lalu silakan masukkan ke dalam rumus.

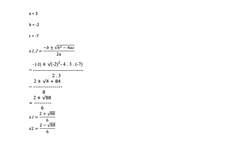
Cara mencari nilai x1 dan x2 pada suatu persamaan kuadrat. Persamaan kuadrat adalah salah satu persamaan matematika dari variabel yang mempunyai pangkat tertinggi dua. However, at x2 ga the xms will only support x2 clusters, with x1 clusters being supported shortly after. Ax2 +bx + c = 0. X2 +7x +10 = 0 b.

Jika X1 Dan X2 Merupakan Akar Akar Persamaan Kuadrat Ax2 2x C 0 Diketahui X1 X2 2 Dan X1x2 3 Brainly Co Id
Jika X1 Dan X2 Merupakan Akar Akar Persamaan Kuadrat Ax2 2x C 0 Diketahui X1 X2 2 Dan X1x2 3 Brainly Co Id from id-static.z-dn.net
The new xms, which offers a rich new html5 ui, will be able to support both x1 and x2 clusters. ® x1 + x2 = 2 , x1 x2 = 3. Regarding replication, you are correct in that it is based on snapshot shipping (similar in concept to how xtremio. Tentukan x1 dan x2 dari persamaan berikut. Extended keyboard examples upload random. Tentukan persamaan regresi ganda y atas x1, x2, dan x3.lakukan pengujian. Dengan x merupakan variabel, a, b merupakan koefisien, dan c merupakan konstanta. The new x2 slots in exactly in the middle of the 1 and 3, with prices for the trio ranging from around £30,000 to £39,000.

Jika akar akar persamaan kuadratnya dengan jumlah dan kali x1 dan x2 telah diketahui maka persamaan kuadratnya dapat diubah dalam bentuk sebagai berikut.

If we want to represent more than one set of points we designate them as (x1,y1) and (x2, y2). Persamaan kuadrat baru yang akar akarnya k lebihnya atau k kurangnya dari akar akar persamaan kuadrat yang lama. For math, science, nutrition, history, geography, engineering, mathematics, linguistics, sports. Nilai kp pada persamaan di atas menunjukan seberapa besar nilai variabel bebas x 1 dan x 2 mempengaruhi nilai variabel terikat y. 11 jan 2018 by darmeilinda_putri045. However, at x2 ga the xms will only support x2 clusters, with x1 clusters being supported shortly after. Pengujian signifikansi terhadap koefisien korelasi ganda dapat menggunakan rumus 7.5 berikut, yaitu dengan uji f. Rumus data kelompok untuk mean dapat ditulis : Tentukan x1 dan x2 dari persamaan berikut. Rumus abc x1 & x2. The new xms, which offers a rich new html5 ui, will be able to support both x1 and x2 clusters. Persamaan kuadrat adalah salah satu persamaan matematika dari variabel yang mempunyai pangkat tertinggi dua. X1, x2, x3, … = nilai tengah f1, f2, f3, … = frekuensi.

Often, we need to calculate the distance between these two points. X1, x2, x3, … = nilai tengah f1, f2, f3, … = frekuensi. Bentuk umum dari persamaan kuadrat atau pk adalah sebagai berikut: Tentukan x1 dan x2 dari persamaan berikut. X2 +3x +10 = 0 d.

Rumus Cepat Matematika Persamaan Kuadrat
Rumus Cepat Matematika Persamaan Kuadrat from reader018.staticloud.net
Often, we need to calculate the distance between these two points. Pada contoh tersebut sudah terhitung juga nilai hasilnya dengan cara manual, nah sekarang kita buktikan dengan kalkulator apakah hasil tersebut benar atau salah. The bmw x2 is notably more sculpted than the x1, with a sloping rear roofline and slimmer windows. Regarding replication, you are correct in that it is based on snapshot shipping (similar in concept to how xtremio. Korelasi antara x1 terhadap y apabila x2 tetap korelasi antara x2 terhadap y apabila x1 tetap. Rumus abc x1 & x2. Jika akar akar persamaan kuadratnya dengan jumlah dan kali x1 dan x2 telah diketahui maka persamaan kuadratnya dapat diubah dalam bentuk sebagai berikut. X1, x2 = x1 = = 2

11 jan 2018 by darmeilinda_putri045.

Extended keyboard examples upload random. X1, x2, x3, … = nilai tengah f1, f2, f3, … = frekuensi. Fokus untuk postingan ini adalah suku banyak (polinom) berderajat tiga. ® x1 + x2 = 2 , x1 x2 = 3. Depending on the trim, the x2. Cara pemasukkan nomornya, masukkan nomor pada kolom pertama, tekan. Pengujian signifikansi terhadap koefisien korelasi ganda dapat menggunakan rumus 7.5 berikut, yaitu dengan uji f. Cara mencari nilai x1 dan x2 pada suatu persamaan kuadrat. Compute answers using wolfram's breakthrough technology & knowledgebase, relied on by millions of students & professionals. Using a coordinate plane, we have points (x, y). Rumus mean data kelompok (distribusi frekuensi) selanjutnya, rumus mean data kelompok berbeda dengan rumus mean data tunggal. Rumuscoid makalah materi definisi pengertian sifa sifat rumus dan contoh soal determinan matriks ordo 22 ordo 33 ordo nxn dimana pada kesempatan sebelumnya kita juga telah membahas tentang invers matriks untuk lebih jelasnya simaklah penjelasan dibawah ini. Often, we need to calculate the distance between these two points.

Posting Komentar untuk "Rumus X1 +X2 - Persamaan Kuadrat Matematika Itu Menarik : X1, x2, x3, … = nilai tengah f1, f2, f3, … = frekuensi."